多軸チップ/チルトシステムのキネマティクス
弊社のピエゾチップ/チルトミラーシステムはパラレルキネマティックに基づいており、あらゆる方向に移動可能な可動式プラットフォーム1つで構成されています。このシステムは非常にコンパクトでありながら、ガルバノスキャナーのように2つの単軸システムを連続して切り替える場合よりも高い直線性を実現しています。
ピエゾ駆動式のチップ/チルトミラーおよびプラットフォームは、トラッキング、スキャン、手ぶれ補正、ドリフトの除去、振動といった非常に動的な操作だけでなく、光学系および試料の静的な位置決めにも適しています。光ビームを最大100 mrad偏向させることが可能であり、応答時間は数マイクロ秒と非常に短く、分解能はナノラジアン台です。レーザービーム制御用の小型システムから、天文学向けの大型ユニットまで幅広く取り揃えています。
差動ピエゾドライブを備えたチップ/チルトシステム(テトラポッド)
差動ピエゾドライブを備えたチップ/チルトシステム(テトラポッド)
本プラットフォームは、互いの角度を90°ずつ変えて配置した2組のピエゾアクチュエータにより駆動されます。これら4つのアクチュエータは、傾斜方向に応じて組ごとに差動制御されます。傾斜軸θ XとθY は直交配置となっているため、座標変換は不要です。
これにより、広い温度範囲にわたって 優れた位置/角度安定性を実現しています。トライポッド版と同じく、差動バージョンでは広い温度範囲にわたって角度安定性が最適化されています。位置制御バージョンでは、1軸あたり2つのセンサーの差分評価により直線性と分解能が向上しています。
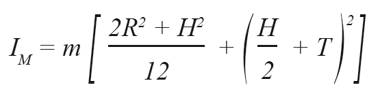
ピエゾチップ/チルトミラーのダイナミクス
ピエゾチルトシステムの最大動作周波数は、システム自体の機械共振周波数に大きく依存しています。また、アンプ、コントローラー、センサーの特性も非常に重要です。プラットフォームとミラーを組み合わせたシステムの有効共振周波数を見積もるには、まずミラー基板の 慣性モーメントを計算する必要があります。











