超音波とは?その用途は?
気体、液体、固体などの弾性媒質に外からの力が作用すると、その力が加わったところから、空間と時間における圧力と濃度変動のうねるような伝搬が起こります。音と呼ばれるものです。
超音波とは、伝搬波の周波数が16,000Hzを超え、人間の耳では検出できない場合に使用される用語です。超音波の周波数範囲は16 GHzまで、すなわち毎秒160億サイクルです。
超音波は、産業、医療技術、そして研究分野でさまざまな目的に利用されています。最もよく知られている応用分野は超音波検査、エコー検査としても知られています。ここでは、超音波は組織と臓器の画像を生成するために使用されています。超音波検査の医療技術における大きな利点は、他の画像診断法と比べて音波が無害であり、胎児にも使用できることです。
医療用画像に加えて、低音響強度は測定技術への応用にも必要とされています。音の強さは、特定の表面に当たる力を表しています。これが10 W/cm2を超えると高出力音となります。低出力超音波とは対照的に、高出力超音波は、物質の変化または破壊すら引き起こすため、材料加工、超音波洗浄、または>> リソグラフィの医療分野での使用に適しています。
電気音響変換器
トランスデューサとしても知られる電気音響変換器は、音響エネルギを電気エネルギに、またはその逆に変換します。アクティブピエゾ素子、ハウジング、電気コネクタによる構成
音波を伝えるための重要なパラメータは、波動抵抗としても知られる特性音響インピーダンスです。これは媒質の密度と音速に左右されます。2つの媒質の音響インピーダンスの差によって、音波が1つの媒質から別の媒質に伝えられるかどうか、そしてどの程度伝えられるかが決まります。この差が大きすぎると、音は反射して伝わりません。
トランスデューサのピエゾ素子と周囲の媒質との間に適応層 (変換層) を設けることで、音響インピーダンスの差を最小限に抑え、伝送の質を向上させることができます。この層の厚さは、音の波長の4分の1に等しいのが理想的です (λ/4)。
振動するように刺激された圧電素子の電気機械的挙動は電気的等価回路図で表すことができます。 C0 は誘電体の静電容量です。のシリアル接続 C1, L1および R1 は、内部摩擦の結果として生じる弾性変形、有効質量 (慣性) 、機械損失などの機械的特性の変化を表します。しかしながら、共振回路のこの説明は、機械系の固有共振の近傍の周波数にのみ適用されます。 圧電体のパラメーターの大部分は、共振時の試験体のインピーダンスを測定することで求められます。 この Z インピーダンスは見かけ抵抗とも呼ばれ、複素数の交流抵抗であり、実部はオーム抵抗を表し、虚部はリアクタンスを表します。インピーダンスは複素ベクトルの長さと位相角ϕによって示されます。
機械的共振は、 >> 機械的振動と電気的振動をカップリングすることによって電気的に測定することが可能です。直列および並列共振は圧電特性値を決定するために用いられます。これらは、インピーダンスの最小値 fm と最大値 fn に近似的に対応します。インピーダンスは、ピエゾ部品やアセンブリの品質検査において、基準として測定されます インピーダンスの曲線の形や動きから、例えば、ピエゾ部品や接着層の品質の欠陥などの結論を導き出すことができます。
ピエゾ素子を用いた超音波測定原理
ピエゾ超音波センサは、広い測定範囲にわたる高い精度と信頼性を提供するだけでなく、長期的な安定性を実現、しかもコンパクトです。光透過性は必要ありません。基本的に、2つの測定原理は区別されます:
1. ランタイム測定
1. ランタイム測定
ピエゾセラミック素子は、ギャップの測定、物体の検出、または >> 流量測定 のいずれかのランタイム測定中にトランスミッタおよびレシーバとして機能します。
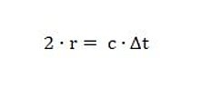
ピエゾセラミック素子は、超音波パルスを放射します。これによって誘発された音波は伝搬して物体に衝突します。それらはその後反射され、部分的に吸収されます。同じピエゾ素子が反射波を受信します。音波の放射と受信との間の伝搬時間差 Δt は、音源と物体との間の距離 r に関する情報を提供します。周囲の媒質における音 c の速度がわかれば、ギャップ r を計算することができます:
2. ドップラー効果
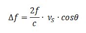
ドップラー効果の原理は、例えば、懸濁粒子や気泡などの汚染媒質の流量や流速を測定するために使用されます。超音波パルスを放射した後、超音波 (f0) は液体粒子によって散乱または反射されます。これにより生じた、同一のピエゾトランスデューサが放射し受信した反射波面間の周波数のずれ Δf は、粒子の流速 vS に比例します。放射された超音波パルスの方向と測定経路との間の角度 θ は次のことを考慮しなければなりません:
流れの方向は、周波数の変化によって決まることもあります。液体粒子がセンサに近づくと、音波が粒子の前に押し出されて圧縮されるため、音の波長は短くなり、周波数は増加します (fb) 。逆に、粒子がセンサから離れるにつれて、波長は増加し、音の周波数は減少します (fa)。この音波の周波数変化 Δf は検出され、放射された超音波パルスの音波周波数と比較されます。
この用途には、水または暖房エネルギの消費を決定するための建築物管理、ならびに血流の速度と方向を記録するための医療分野が含まれます。








