電圧を加えると、ピエゾセラミックチューブの直径・軸長・壁厚が変化します。 分割電極を使用することで、屈曲を制御して正確な横方向の変位を実現できます。 これらの高精度かつ超高速な動作は、マイクロドージングやインクジェット印刷から、小型物体の精密位置決め、グラスファイバーの操作、超音波の生成に至るまで、幅広い用途で活用できます。 対象を絞った圧電部品の改良により、用途に合わせた特性が実現可能です。
仕様
カスタム設計でも標準製品でも、PI Ceramicは最適な材料の選定からソリューション志向の用途開発に至るまで、包括的なサポートを提供します。 ピエゾチューブの寸法は、定められた許容範囲内で柔軟に指定できます。 実現可能性の検証のために、ご希望の仕様または用途要件をお知らせください。
| 外径 OD(単位:mm) | 0.5 ~ 150 |
| 内径 ID(単位:mm) | 0.3 ~ 140 |
| 長さ L(単位:mm) | 最大70 |
| 電極 | 外側:厚膜(Ag)、薄膜(Ag、Au、CuNi、Cu、NiV、Cr)、無電解ニッケル(内径1 mm超) 内側:厚膜(Ag)、無電解ニッケル(内径1 mm超) |
| 電極設計 | 多分割チューブに加え、全面、4分割、ラップアラウンドなどの設計も可能です。 右の列をご覧ください。 |
| 終端 | はんだ付け、ボンディングワイヤ、撚線、フレキシブル基板など、さまざまな接続方法をご利用いただけます。 特殊なアダプターを使用すると、小型の4分割チューブでも顕微鏡下で簡単に接続でき、機能性を損なうこともありません。 データシートは>> こちらから入手できます。 |
| 分極方向 | 電極の接点と設置方法に応じて、軸方向、半径方向、横方向にさまざまな屈曲が発生します。 詳細については、>> 動作モードをご覧ください。 |
| 材料 | さまざまな強誘電体ソフトおよびハードPTZ材料をご用意しています。 |
| その他の機能 | 組立・相互接続技術による高度な改良に加えて、次のようなカスタマイズされた、すぐに利用可能なピエゾ部品を開発することが可能です。
|
| 用途 | ピエゾセラミックチューブは、さまざまなセンサーやアクチュエーターの用途に適しています。 考えられる活用事例については、>> こちらをご覧ください。 |
動作モード
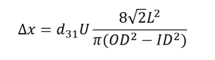
ピエゾチューブをアクチュエーターとして使用する場合、電圧を印加すると機械的な変位が生じます。 この変位は、DC電圧を印加した場合は静的変形として、AC電圧を印加した場合は超音波範囲などの振動運動として生じます。 ピエゾ部品の設計に応じて、動作は軸方向と横方向のどちらでも発生させることが可能です。 変位の振幅は、ピエゾチューブの寸法と印加電圧の大きさの両方から影響を受けます。
たとえば、内側が正の分極方向、外側が負の分極方向を持つチューブの場合、変位方向は次のようになります。
ダウンロード
Material Data
Datasheet Tubes with Connector
User Manual A000T0047
Handling and Electrical Contacting of Piezo Components














