ダイナミック操作

共振周波数

縦方向積層アクチュエータで仕様に示されている共振周波数は、両側を固定せずに動作させた場合のものです。片側を固定した配置では、この値は半分になります。

追加の荷重が共振周波数を減らす効果については、以下の式で見積もることができます(meff の計算については図1を参照)。

位置決め用途では、制御信号と変位間の位相のずれを小さく抑えるため、ピエゾアクチュエータは共振周波数よりもはるかに小さい周波数で動作させます。ピエゾシステムの位相応答は、2次系に近いものになります。


 

f0'

 


荷重がある場合の共振周波数[Hz]

f0荷重がない場合の共振周波数[Hz]
meffピエゾ積層アクチュエータの有効質量[kg]
meff'荷重がある場合のピエゾ積層アクチュエータの有効質量[kg]
φ位相角[度]
f制御周波数[Hz]
mピエゾアクチュエータの質量
M追加荷重
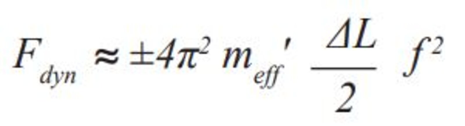
Tminピエゾアクチュエータが公称変位に到達するまでの時間

高速応答は、ピエゾアクチュエータの特徴の1つです。動作電圧を素早く変化させることで、位置が高速で変化します。こうした挙動は、走査型顕微鏡、手ぶれ補正、バルブ制御、衝撃波の生成、アクティブ制振など動的な用途に特に適しています。制御電圧が急激に増加すると、ピエゾアクチュエータは共振周波数f0 の周期の1/3程度で公称変位に到達できます(図2):

この場合、大きなオーバーシュートが生じます。このオーバーシュートは、対応する制御技術により部分的に補償することができます。

例:共振周波数f0 が10 kHzの一端を固定したピエゾアクチュエータは、30 μsで公称変位に到達できます。

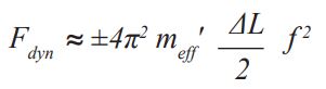
適切なドライブエレクトロニクスを用いることで、ピエゾアクチュエータでは数万m/s²という高い加速度を生成できます。結合される質量およびアクチュエータ自体の慣性により、動的引張力が発生します。この引張力は>>力学的プリロードを用いて補償する必要があります。正弦動作での最大外力は以下のように見積もることができます。

Fdyn最大動的外力
meff'ピエゾ積層アクチュエータの有効質量[kg
]ΔL変位(ピークツーピーク) [m]
f制御周波数

例:1,000 Hz、変位2 μm(ピークツーピーク)、質量1 kgの場合の動的外力は約±40 Nです。

お問い合わせ

担当者よりお問合せにつきまして、すぐにご連絡をさせて頂きます。

テクノロジー

ダウンロード

カタログ

Piezoelectric Actuators

Components, Technologies, Operation

日付 / バージョン
CAT128
pdf - 17 MB
日付 / バージョン
CAT128
pdf - 11 MB